Manual overhead crane & manual bridge crane for sale, economical single girder overhead crane with top running design, with manual overhead hoist 1-10 ton.
| Crane type | Single girder manual overhead crane |
| Capacity of crane | 1 ton -10 ton |
| Crane hoist | Manaul overhead hoist |
Category: Hoist and Crane Specifications
Your Trusted Overhead Travelling Crane Manufacturer & Supplier
Manual overhead crane & manual bridge crane for sale, economical single girder overhead crane with top running design, with manual overhead hoist 1-10 ton.
Supply Scope
Applicable Scope and Conditions of Manual bridge crane
Applied to working environment: -25℃~+40℃, humidity ≤85%, elevation: ≤1000m, power supply: 3-phase, 380V, 50Hz (made according to the order).
Technical Specifications | |||||||
Lifting Capacity | t | 1 | 2 | 3 | 5 | 10 | |
Lifting Height | m | 3~10 | |||||
Work Duty | A1~A3 | ||||||
Traveling Speed | Trolley | m/min | 5.2 | 5.2 | 5.2 | 4.3 | 4.3 |
Crane | 5.3 | 5.9 | 4.7 | 4.7 | 4.2 | ||
Wideth of Rail | mm | 37~51 | |||||
Mark: For example 5t lifting capacity, 10m span manual operational single girder crane shows as SL5t-10m.
Main composed of bridge frame (main girder + end girders), driving & driven wheels, driving mechanism, monorail trolley and chain block hoist.
Single girder top running manual overhead crane drawing
(1) driving wheel (2)flexible coupling (3)rolling bearing (4)chain wheel, (5)transmission shaft (6)driven wheel
Metal Structure
Driving & Driven Wheels
Driving Mechanism
Chain Block Hoist,Manual Overhead Hoist
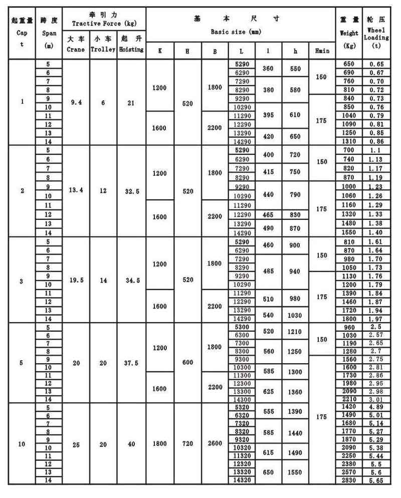
1 ton -10 ton manual overhead crane specification table

Item | Crane Type & Specifications | Qty | |
1 | Single girder overhead crane |
| 2set |
2 | Single girder overhead crane |
| 1set |
3 | Single girder overhead crane |
| 4set |
4 | Single girder overhead crane |
| 2set |
5 | Single girder overhead crane |
| 1set |
6 | Runway HN 400*200*8*13 | 18.25m*2+17.6m*2+11.5m*2+11.5m*2+16.8m*2 | / |
7 | Crane rail P24 | 18.25m*2+17.6m*2+11.5m*2+11.5m*2+16.8m*2 | / |
Note:
Main structure |
| Main girder | The main girder of the manual bridge crane is maide of Welded box-section beam, made of main material Q235B carbon structural steel strong and elegant, with the features of easy to maintain, and with three-layer painting |
| End carriages | Q235B carbon structural steel with quality wheels. Three-layer painting. | |
Lifting mechanism |
| Manual chain hoist | Manual chain hoist, safe and reliable, easy to maintain, high efficiency, small bracelet tension, light weight |
| Trolley | High strength alloy steel, easy installation, manual chain drive | |
| Chain | The chain shall adopt the ultra heat-treatable chain. | |
| Hook | It is hot forging with perfect strength that is hard to break. The operation safety of the lower hook is ensured by its 360 degrees rotation and safety flap | |
Travelling mechanism |
| Crane travelling system | For crane travelling, manual chain type driving, smooth and durable, commonly used for facility maintenance |
Crane Rail |
| P24 | Width(mm) 51, Bottom Width (mm)92, Height(mm)107, Weight(kg/m) 24.46, |
Affordable 10 ton double girder overhead crane with CD/MD hoist trolley, built for U.S. standards, ideal for construction and industrial lifting
Free consultation to Confirm Parameters & Specifications and Get
Latest Crane Price & Crane Rate.
Just leave a message via the contact form and our hoist and crane engineer will contact you with in 24working hours.
Get In Touch